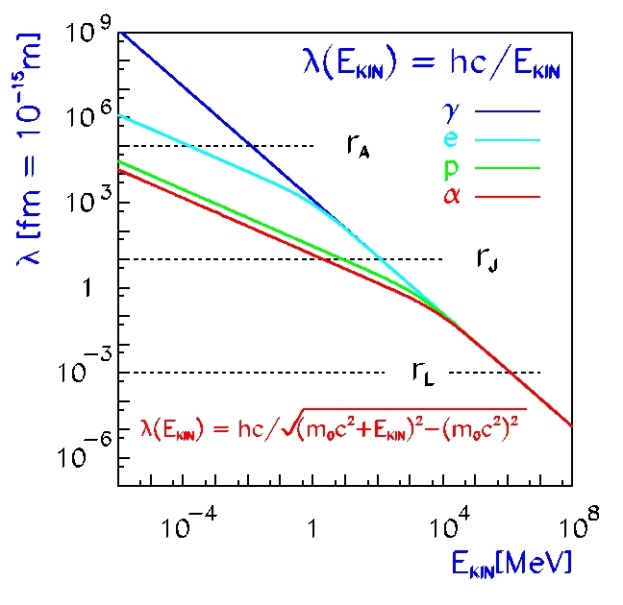
Závislost de Broglieho vlnové délky různých částic na kinetické energii, na kterou jsou urychleny






Závislost de Broglieho vlnové délky různých částic na kinetické energii, na kterou jsou urychleny