Když spadne talíř nebo se rozbije okno, obvykle se zajímáme o úklid a cenu za pořízení nové věci. Fyzik Emmanuel Villermaux z Aix-Marseille University in France a University Institute of France zašel mnohem dál. Rozbíjení objektů ho pohltilo, až nakonec vymyslel jednoduchý a elegantní zákon, který popisuje rozbití většiny objektů, včetně křehkých pevných věcí, kapek kapalin nebo explodujících bublin.
Vědci už dlouho měli podezření, že rozbíjení má nějaká univerzální pravidla. Když posbíráte kousky rozbitého objektu a spočítáte, kolik jich spadá do jednotlivých intervalů velikosti, budou mít výsledné grafy stejný tvar bez ohledu na to, co se rozpadlo.
Villermaux začal s chaosem, který obklopuje samotnou událost rozbití. Dospěl k tomu, že ve většině případů jde o nejvíce chaotický chaos s maximální náhodností (maximal randomness). Tak se projevuje realita, když se valí cestou nejmenšího odporu. Současně ale také stanovil, že i chaos je svázaný fyzikálními limity (conservation law), neviditelným pravidlem, podle něhož se celkové uspořádání kousků objektu (kolik velkých a kolik malých) se nemůže při rozpadu objektu měnit náhodně.
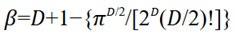
Spojením těchto dvou principů Villermaux dokázal matematiky vyjádřit univerzální zákon rozbití. Rozdělení velikostí fragmentů lze odvodit jako
což je funkce dimenzionality rozpadajícího se objektu D. Tímto způsobem se podle Villermauxe chovají třeba pevné objekty jako bloky materiálu, desky, skořápky, krychle, koule, kapky, bubliny nebo taky plastový odpad v oceánu či odpad při výrobě nástrojů doby kamenné.
Villermaux zjistil, že nový zákon výtečně sedí na ohromné množství dat, které zvídaví vědci nashromáždili při rozbíjení mnoha různých objektů. Villermaux si to taky zkusil v experimentu a potvrdil, že zákon pěkně funguje při rozbíjení kostek cukru. Současně se ukázalo, že tento zákon je jen téměř univerzální. Neplatí úplně vždy. Selhává u příliš měkkých materiálů, jako jsou některé plasty nebo když rozbití je spíše pravidelné než náhodné, například když se proud kapaliny rozpadne kvůli povrchovému napětí na kapky stejné velikosti.
Video: E. Villermaux: "The Disgregation of Liquids"
Literatura
Levitující nanočástice dočasně porušuje 2. termodynamický zákon
Autor: Stanislav Mihulka (07.04.2014)
Disertace, která změnila fyziku: sto let vlnově-částicové duality
Autor: Jiří Chýla (08.02.2024)
Schrödingerova kočka a Maxwellův démon si nejdou navzájem po krku
Autor: Stanislav Mihulka (08.02.2025)
Horká kvantová kočka potvrzuje kvantové fenomény v drsnějších podmínkách
Autor: Stanislav Mihulka (05.04.2025)
Diskuze:
Jaká škoda
Oldřich Novák,2025-12-02 13:00:36
že se drtivá většina předmětů rozbíjí za zcela jiných než laboratorně řízených podmínek... jinak by to bylo rovnou na nobelovku.
Samuel Son,2025-12-01 22:02:44
Předpokládám že podle stejného vzorce se rozpadne vesmír.
Na malé a velké kousky vesmíru...
Diskuze je otevřená pouze 7dní od zvěřejnění příspěvku nebo na povolení redakce








