Kvantová fyzika a uplatnění kvantových technologií mají zásadní přínos pro rozvoj naší společnosti. Rok 1925 byl zásadní pro rozvoj kvantové mechaniky. V tom roce formuloval Erwin Schrӧdinger rovnici, která nese jeho jméno. Werner Heisenberg v něm vytvořil maticovou kvantovou mechaniku, která umožnila exaktní matematický popis mikrosvěta. Tyto průlomy odstartovaly rychlý rozvoj kvantové mechaniky, už v roce 1927 zformuloval Heisenberg svůj princip neurčitosti a spolu s Nielsem Bohrem se podíleli na tzv. Kodaňské interpretaci kvantové fyziky. Tato pravděpodobnostní interpretace, podle které kvadrát vlnové funkce v Schrӧdingerově rovnici popisuje pravděpodobnost výskytu systému v daném stavu, není sice jediná, ale je nejobecněji přijímána.
Právě klíčové zlomy v rozvoji kvantové mechaniky realizované před sto lety byly důvodem vyhlášení roku 2025 Mezinárodním rokem kvantové fyziky. Jde o ocenění obrovského vlivu kvantové fyziky na naše poznání, technologie i každodenní život. Ta nejen dramaticky změnila náš pohled na realitu, ale položila také základy moderních technologií, jako jsou jaderné technologie, lasery, polovodiče a v současné době konečně nastupující kvantové počítače. Než se podíváme na dramatické dopady kvantové fyziky na naše poznání vesmíru, připomeňme si některé podstatné vlastnosti této teorie.
Kvantová fyzika, jako vědecká teorie popisující vlastnosti mikrosvěta
Vědecké teorie jsou nástroji pro popis našeho reálného světa. Umožňují nám poznat jeho minulý vývoj nebo předpovědět jeho budoucí stavy. Zároveň nám dávají do rukou možnost měnit jeho stav podle našich potřeb.
Na přelomu devatenáctého a dvacátého století začal člověk zkoumat mikrosvět. Ukázalo se, že pro popis tohoto světa nám klasická fyzika nestačí a bylo potřeba vyvinout nové nástroje (vědecké teorie) pro jeho popis. Těmi se ukázaly být speciální teorie relativity, a právě kvantová fyzika.
V kvantovém světě se však setkáváme s řadou vlastností a paradoxů, které v tom makroskopickém nejsou. Filozofická interpretace řady z nich se diskutuje do současnosti. V kvantové fyzice, například mechanice, popisujeme studovaný systém pomocí veličin, které nejsou přímo měřitelné. To je dramatický rozdíl od klasické fyziky (mechaniky), kde systém popisují veličiny přímo měřitelné. Systém v kvantové fyzice (mechanice) popisuje vlnová funkce, která není přímo měřitelná. Kromě její znalosti tak potřebujeme i algoritmy, s jejichž pomocí dokážeme určit hodnoty měřitelných veličin. Navíc v řadě případů nedostaneme jednu hodnotu, ale pravděpodobnostní rozdělení hodnot.
Kvadrát vlnové funkce pak udává pravděpodobnost, že se systém bude nacházet ve stavu s danými hodnotami měřitelných veličin. U kvantové fyziky je tak ještě názorněji vidět to, že vědecká teorie je modelem reálného světa a není reálným světem samotným. Popis objektu není objekt samotný.
Klasická mechanika je deterministická, pokud budeme mít popis uzavřeného systému v daném čase a použijeme newtonovskou mechaniku, nebo i Einsteinovu speciální teorii relativity, můžeme přesně zjistit stav systému v kterémkoliv budoucím i minulém okamžiku. U kvantové fyziky tomu tak není, je nedeterministická a její předpovědi jsou pravděpodobnostní.
U kvantové fyziky jsou výsledky měření ovlivněny samotným aktem měření. Existují také dvojice fyzikálních veličin, u kterých nelze zároveň změřit jejich hodnoty s nekonečnou přesností. Součin jejich nejistot nemůže být menší než redukovaná Planckova konstanta. Jde například o polohu a hybnost nebo energii a čas (i když v tomto případě je to kvůli podstatě času komplikovanější).
Akt měření (pozorování) má v tomto případě zásadní význam. A jde o velmi obecný pojem měření (pozorování), které znamená libovolnou interakci v systému. Filozofické diskuze o interpretaci tohoto aktu se stále vedou. Je to spojeno s takovými pojmy, jako je Schrӧdingerova kočka nebo kolaps vlnové funkce. Souvisí to také s nelokálností kvantové fyziky, Stav systému je dán vlnovou funkcí v celém prostoru. Konkrétní hodnoty fyzikálních veličin nejsou dány, existuje jen pravděpodobnost, se kterou mohu nastat. Při měření dojde ke kolapsu vlnové funkce, realizují se konkrétní hodnoty měřitelných fyzikálních veličin a systém má novou vlnovou funkci.
Čím obsahuje systém více částic a je složitější, tím je větší pravděpodobnost, že nastane interakce a kolaps vlnové funkce. Makroobjekty jsou natolik složité systémy, že se jako celek chovají klasicky. O podivnostech toho kvantového světa více zde.
Dualita povahy objektů v mikrosvětě – vlnové i částicové
Experimenty ukázaly a kvantová fyzika to popisuje, že všechny objekty mají zároveň vlnové a částicové vlastnosti. V roce 1900 ukázal Max Planck při popisu vyzařování absolutně černého tělesa, že je světlo (elektromagnetické záření) vyzařováno v kvantech, které se dnes označují jako fotony. Albert Einstein v roce 1905 vysvětlil vlastnosti fotoefektu na základě předpokladu, že se v kvantech světlo i pohlcuje. Vysvětlení Comptonova rozptylu z roku 1922 předpokládá, že se elektromagnetické záření jako částice chová i při svém šíření.
V roce 1924 přišel Luis de Broglie s hypotézou, že naopak i částice jako elektron nebo proton mají vlnové vlastnosti. První potvrzení této představy realizovali Clinton Davison a Lester Germer a nezávisle George Paget Thomson a Alexander Reid pozorováním interference elektronů na mříži.
Interferenci světla na dvojštěrbině poprvé pozoroval už v roce 1801Thomas Young a potvrdil vlnovou podstatu světla, první experiment s interferencí elektronů na dvojštěrbině realizoval Claus Jӧnson v roce 1961. Později byla realizována celá řada stále přesnějších experimentů, kdy se intenzita svazku elektronů snižovala až na úroveň, že štěrbinami procházel vždy jeden elektron samostatně. I tak byla interference pozorována.
Experimenty s vlnovou povahou a interferencí byly realizovány i s těžšími objekty. Jednalo se o neutrony, atomy i stále těžší molekuly. Vlnová povaha byla v roce 1999 prokázána Antonem Zeilingerem u fullerenů C60, v roce 2013 se podařilo vlnové vlastnosti prokázat u složitých organických molekul s hmotností přes 10 000 atomových hmotnostních jednotek a nyní už jde i o makromolekuly s hmotností přes 25 000 atomových hmotnostních jednotek.
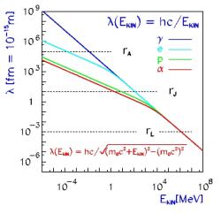
Charakteristická vlnová délka je nepřímo úměrná hybnosti, a tedy i hmotnosti objektu. Objekty s velkou hmotností mají většinou rozměry úměrné hmotnosti. Jejich charakteristická vlnová délka je tak extrémně malá.
Velikost de Broglieho vlnové délky mikroskopického objektu, například elektronu, určuje neurčitost určení jeho polohy. Pokud chceme zkoumat extrémně malé objekty, potřebujeme „sondy“ s dostatečně velkou hybností (tedy i energií), která vede k dostatečně malým vlnovým délkám.
To je jeden z důvodů, proč se budují stále větší urychlovače. Jestliže pro prokázání existence atomového jádra s rozměrem v řádu 10 fm (10-14 m) stačila Ernestu Rutherfordovi energie alfa částic v jednotkách megaelektronvoltů, a tedy částice alfa z alfa rozpadu, pro zkoumání detailů v řádu desetitisíciny rozměru jádra (10-18 m) je potřeba urychlovač LHC s energií protonů v řádu teraelektronvoltů.
Přeměna kinetické energie na klidovou energii nových částic
Extrémně důležitou vlastností kvantové fyziky je možnost přeměny kinetické energie na klidovou energii (hmotnost) nových částic a naopak. Nové částice tak lze produkovat ve srážkách částic urychlených na co nejvyšší kinetickou energii. Čím je energie dosažitelná na urychlovači vyšší, tím mohou mít produkované částice vyšší hmotnost. To je druhý důvod, proč má smysl budovat stále větší urychlovače.
Produkce nových částic musí probíhat tak, že jsou splněny všechny zákony zachování. Musí se zachovat elektrický náboj i další vnitřní kvantová čísla. Proto vznikají nové částice často jako pár částice a antičástice. Kvantová fyzika pak popisuje i anihilaci částice a antičástice.
Proces kreace částic při vysokoenergetických srážkách urychlených částic nám umožňuje objevovat nové stále těžší částice. Takovým způsobem mohl být pomocí urychlovače LHC objeven Higgsův boson. Současný stav výzkumu s pomocí LHC jsou popsány v nedávném článku. Kreace částic a antičástic proběhla i při vzniku našeho vesmíru a následně v jeho velmi raných stádiích i anihilace vzniklé hmoty a antihmoty. Při ní se projevila malá asymetrie mezi hmotou a antihmotou (asymetrie popsána v dřívějším článku). Bez kvantové fyziky nelze tyto procesy popsat.
V současné době pozorované antiprotony ve vesmíru vznikají při kreaci párů protonu a antiprotonu v interakci vysokoenergetického kosmického záření s jádry mezihvězdného prostředí. Současný stav výzkumu v oblasti kosmického záření extrémních energií je v nedávném článku. Popis s tím spojených procesů potřebuje kvantovou fyziku.
Spektroskopie – základní nástroj pro studium vlastností vesmírných objektů
Diskrétní hodnoty energie vybuzených stavů atomů, které jsou dány jejich kvantovými vlastnostmi, jsou specifické pro konkrétní prvek. Pozorování konkrétních emisních nebo absorpčních čar ve spektrech umožňuje tyto prvky identifikovat v různých vesmírných objektech nebo mezihvězdném či mezigalaktickém prostředí. Právě pomocí této informace známe složení vesmíru a výskyt různých prvků. Výskyt primordiálních lehkých prvků je citlivý k různým parametrům kosmologického modelu. Můžeme studovat změnu chemického složení a tím i evoluci hvězd i galaxií, tedy i celého našeho vesmíru.
Jemné posuny energie těchto linek i jejich případné rozšíření umožňuje studovat fyzikální a chemické vlastnosti, ve kterých se zkoumané atomy vyskytují. Lze tak například určit intenzitu magnetického pole, ve kterém se atomy nacházejí nebo chemické vazby a sloučeniny, které v daném okamžiku tvoří.
Přesně definované emisní nebo absorpční čáry ve spektru umožňují určit pomocí rudého nebo modrého Dopplerova posuvu rychlost vzdalování nebo přibližování vesmírného objektu. Můžeme tak studovat vzájemné pohyby objektů ve vesmíru, pohyby hvězd v Galaxii, pohyby galaxií v kupách galaxií.
Stejně tak lze pomocí přesně definovaných čar spekter chemických prvků studovat kosmologický rudý posuv a tím i průběh rozpínání našeho vesmíru a vzdálenosti galaxií a kup galaxií ve velkých vzdálenostech, označovaných jako kosmologické. Toho využívá Webbův teleskop k objevu stále vzdálenějších galaxií, které pozoruje stále blíže počátku našeho vesmíru (odkazy například zde, zde a zde).
I u atomových jader je tomu podobně, jen energie přechodů mezi jednotlivými stavy je většinou i řádově vyšší, než je tomu u přechodů v atomu. Vyzařované záření je tak v oblasti energií gama. Existují tak diskrétní excitované energetické stavy částicové, kdy je nukleon v excitovaném stavu, vibrační vznikající vibracemi jádra a rotační vzniklé rotací deformovaného jádra.
Existuje řada družic detekujících záření gama. Pozorují se spektra gama ze supernov, kde lze identifikovat radionuklidy produkované během výbuchu supernovy. Tyto radionuklidy svým rozpadem tvoří dominantní část intenzity supernovy, gama se průchodem materiálem hvězdy mění na viditelné světlo. Intenzita světla supernovy tak klesá exponenciálně v souladu s poločasem rozpadu daného radionuklidu. Ve změně intenzity supernovy v čase je vidět napřed pokles s poločasem rozpadu 6,1 dne radionuklidu 56Ni a později s poločasem rozpadu 78 dní radionuklidu 56Co. Pomocí vesmírných observatoří záření gama pak můžeme vidět, jak v čase klesají a mizí intenzity linek z radionuklidu 56Ni a zůstávají linky radionuklidu 56Co. Při celé řadě vysokoenergetických procesů ve vesmíru vzniká celá řada dalších radionuklidů a jejich identifikace pomocí jejich spektrálních čar umožňuje identifikovat jejich zdroje a průběh jejich produkce.
Fúzní reakce ve hvězdách umožňuje kvantové tunelování
Kvantová fyzika a tunelování umožňuje realizaci termojaderných reakcí. Všechna atomová jádra jsou kladně nabitá a odpuzují se, coulombovská odpudivá síla působí do velké vzdálenosti. Řádově silnější přitažlivá silná jaderná interakce má dosah jen velmi malý. Součet těchto interakcí vytváří potenciálovou coulombovskou bariéru. Pokud se jádra mají ve fúzi spojit, musí překonat tuto coulmbovskou barieru. Pokud by platila v mikrosvětě klasická fyzika, musely by mít fúzující jádra kinetickou energii větší, než je výška této bariéry.
Aby tomu tak bylo, musela by být ve hvězdách extrémně vysoká teplota. Možnost kvantového tunelování skrz tuto bariéru významně snižuje potřebnou kinetickou energii a tím i teplotu. I tak tunelují jádra, která jsou v chvostu rozdělení jejich energií táhnoucí se k vyšším hodnotám.
Na tunelování si můžeme přiblížit dvěma různými pohledy. V prvním je umožňuje to, že rozmazání polohy částice popsané vlnovou funkcí dává jistou pravděpodobnost, že se nachází za coulombovskou bariérou. Druhý pohled spočívá v tom, že si částice na dobu dovolenou Heisenbergovým principem neurčitosti „půjčí“ energii potřebnou k překonání coulombovské bariéry. To je pouze přiblížení, správný popis a výsledky dává aparát kvantové teorie.
Kvantová fyzika je tak klíčová pro popis průběhu termojaderných reakcí ve hvězdách a velmi dobře jsou její výsledky potvrzovány pozorováním vlastností hvězd. Současné znalosti o astrofyzikálních reakcích a jejich popisu a studiu jsou popsány v nedávném článku.
Kvantování spinu a vlastnosti degenerovaného fermionového plynu
Další veličinou, která je kvantovaná, je moment hybnosti. V mikrosvětě je ekvivalentní fyzikální veličinou spin, který může nabývat pouze hodnot poločíselných nebo celočíselných násobků redukované Planckovy konstanty. A právě hodnota spinu silně ovlivňuje chování částic. U částic s celočíselným spinem jich může být v jednom kvantovém stavu několik, takové částice se označují jako bosony. U částic s poločíselným spinem může být v jednom kvantovém stavu pouze jedna částice, těm se říká fermiony.
Základní stav systému fermionů s nejnižší energií je takový, že stavy s energií do určité hladiny, označované jako Fermiho energie, jsou zaplněné, a všechny nad ní jsou prázdné. Kvůli Heisenbergovu principu neurčitosti se ve fázovém prostoru (šestirozměrný prostor – tři rozměry polohy a tři hybnosti) vytvářejí buňky, ve kterých může být jen jeden fermion. Plyn složený z fermionů v takovém základním stavu se označuje jako vysoce degenerovaný fermionový plyn.
Fermiony jsou jak elektrony, tak i protony a neutrony. A právě u konečných stádií hvězd jsou kritické vlastnosti tohoto plynu. Umožňují jim odolávat gravitačnímu tlaku a brání jejich kolapsu. U normálních hvězd, kde probíhají termojaderné reakce, udržuje jejich stabilitu produkované teplo. U konečných stádií hvězd se dostupné palivo ve hvězdě spálilo a termojaderné reakce ustávají, hvězda začne kolabovat. U hmotnosti hvězdy jen mírně překračující hmotnost Slunce vzniká bílý trpaslík. V něm vzniká degenerovaný elektronový plyn a brání jeho kolapsu.
Pokud hmotnost hvězdy překročí určitou hodnotu, která se označuje jako Chandrasekharova limita, nedokáže degenerovaný elektronový plyn odolávat gravitačnímu tlaku a hvězda se hroutí do neutronové hvězdy. Protony se s elektrony přemění na neutrony. Neutrony jsou také fermiony a vytváří neutronový degenerovaný plyn, který odolává gravitačnímu tlaku. I tento plyn má však limity své odolnosti, která je něco přes dvě hmotnosti Slunce a označuje se jako TVO (Tolmman Oppenheimer Volkoffova) limita. Jedním z těch, kdo popsali nezadržitelný pád neutronové hvězdy do černé díry při překročení této limity, byl Robert Oppenheimer (více o něm zde). Podrobnější popis tohoto jevu, kdy kvantové vlastnosti určují limity na hmotnost bílého trpaslíka a neutronové hvězdy, a hmoty uvnitř neutronových hvězd je v dřívějším článku.
Kvantové fyzikální vakuum
Pro popis interakce nestačí kvantová mechanika, je potřeba používat kvantovou teorii pole. Pro využití každé teorie je klíčové nalezení matematických metod, které umožňují vypočítat konkrétní hodnoty různých fyzikálních veličin. Pro kvantovou teorii pole bylo kritickým zlomem v této oblasti zavedení Feynmanových diagramů v roce 1949. Metoda umožňuje podle přesně stanovených pravidel převést složité rovnice do grafického vyjádření v podobě diagramů. Ty pak lze různě seskupit, vzájemně rušit a roztřídit podle velikosti příspěvku k výsledné hodnotě. Výsledný soubor diagramů lze opět převést na rovnice a spočítat požadovanou hodnotu.
Pomocí kvantové teorie pole a Feynmanových diagramů se popisuje výměnný charakter interakcí. Při něm se zavádí pojem virtuální částice, které spojují vnitřní vrcholy Feynmanových diagramů a jejichž výměna popisuje interakci. „Virtuální“ částice jsou podobami známých „reálných“ částic, které však „neleží na hmotové slupce“ a nesplňují relativistický vztah mezi celkovou energií, klidovou energií a hybností.
Ve virtuální podobě se mohou v procesu s danou energií projevovat i virtuální částice s klidovou energií (hmotností), která překračuje energii dostupnou v daném procesu. Lze tak nepřímo pozorovat i velmi těžké částice, které na dostupných urychlovačích nelze v reálné podobě pozorovat. Přesně tak se hledají na LHC projevy nové exotické fyziky za Standardním modelem hmoty a interakcí a nové hypotetické částice s velkou hmotností, které by mohly být zodpovědné za temnou hmotu.
Virtuálními částicemi je vyplněno i fyzikální kvantové vakuum, čím má více energie, tím je jich více. A ty mají pozorovatelný vliv na jeho chování, ať už jde o Casimirův jev nebo Lambův posuv. Podrobněji je to popsáno v článku Vakuum ve skutečnosti prázdnota není aneb kouzla kvantové fyziky pro časopis Kozmos. Bez popisu tohoto vakua a jeho vlastností se započtením známých i zatím hypotetických virtuálních částic se neobejdeme při popisu těch nejranějších fází vývoje našeho vesmíru. I v té době v něm fungovala kvantová fyzika a každá nová teorie struktury hmoty za Standardním modelem hmoty a interakcí bude muset být kvantová. I proto je nutné najít správnou teorii kvantové gravitace. Hypotetické částice by měly stát za temnou hmotou i za polem způsobujícím efekt popisovaný jako temná energie. Známé i hypotetické částice jsou popsány v článku napsaném ještě v době, kdy byl i higgs hypotetickým.
Ještě jednou bych rád zdůraznil, že virtuální částice jsou jen formou popisu reality a nejsou realitou samotnou.
Závěr
Kvantová fyzika je zásadní součástí kosmologie a kosmologických modelů, jak je popsáno v přehledu současného pohledu na tento vědecký obor. |Bez ní nelze vývoj našeho vesmíru a evoluci různých jeho objektu popsat. Kvantová fyzika nám dává celou řadu metod, jak studovat vlastnosti i extrémně vzdálených objektů. Klíčový je v tomto případě diskrétní charakter energetických přechodů v mikrosvětě a možnost využití gama, rentgenovské, ultrafialové, viditelné, infračervené, mikrovlnné a rádiové spektrometrie.
Velmi důležitá je i celá řada kvantových technologií, například laserové pro interferometrii, které umožňují velmi přesná pozorování v řadě oblastí. Stále větší vliv bude mít v budoucnu při analýze dat a jejich interpretaci i rozvoji modelů a teorií umělá inteligence a kvantové počítače. V každém případě se můžeme těšit na zásadní průlomy v našem astrofyzikálním a kosmologickém poznání.
Přednáška o přínosu kvantové fyziky pro zkoumání vesmíru přednesená v rámci cyklu v Mezinárodnímu roku kavantové fyziky na Hvězdárně a planetáriu v Brně:
Přednáška o hmotě uvnitř neutronových hvězd a roli degenerovaného fermionového plynu ve vesmírných objektech:
Přednáška o Robertu Oppenheimerovi pro Café Nobel:
Přednáška o fyzikálním vakuu pro Café Nobel:
Disertace, která změnila fyziku: sto let vlnově-částicové duality
Autor: Jiří Chýla (08.02.2024)
Jaderná hmota v nitru neutronových hvězd
Autor: Vladimír Wagner (07.05.2024)
Co je to virtuální částice
Autor: Jiří Chýla (16.08.2024)
Produkce těžkých antijader a antihyperjader
Autor: Vladimír Wagner (24.09.2024)
Sto let Schrödingerovy rovnice
Autor: Jiří Chýla (24.01.2026)
Baryonové akustické oscilace a kosmický výzkum
Autor: Vítězslav Škorpík (30.01.2026)
Top 5 fyzikálních objevů kosmických observatoří
Autor: Vítězslav Škorpík (12.02.2026)
Diskuze:
Re: Děkuji!
Alex Alex,2026-02-13 19:14:30
Aj ja ešte raz ďakujem.
Veta z článku: "U hmotnosti hvězdy jen mírně překračující hmotnost Slunce vzniká bílý trpaslík.
V něm vzniká degenerovaný (fermionový!) elektronový plyn a brání jeho kolapsu." Tak tá veta ma nakopla, aby som sa poradil s AI, a vyšlo mi, že v tom trpasíku je cca 10exp56 elektrónov,
a každý z nich má inú kvantovú hladinu a každý je delokalizovaný cez celý objem trpaslíka.
Teda, klobúk dole !
Alex Alex,2026-02-12 19:17:52
Takto doslova "hutnú masáž" v kocke som dávno nečítal.
Jeden z největších omylů lidstva
Pavel Štverka,2026-02-12 18:00:17
, teorie, která si často odporuje a je postavena na víře, tedy axiomech bez fyzikální podstaty. Kolik desítek subčástic a kvantových stavů ještě bude tato teorie potřebovat, aby dokázala vysvětlit podstatu hmoty a světa? Co se týče objevů, i po tmě jednou za čas najdete z místnosti dveře ven. Jen to něco trvá a možná i bolí. Ale se světlem, ty dveře najdete mnohem rychleji a bezbolestně. Autorovi bych doporučil klasickou mattersecrets.com. Nemusí tomu věřit, stačí, když začne samostatně a kriticky přemýšlet a ne jen opakovat po jiných.
Re: Jeden z největších omylů lidstva
Prinz Pavel,2026-02-12 18:19:33
Žádná teorie není postavena na víře.
Re: Re: Jeden z největších omylů lidstva
Zdeno Janeček,2026-02-12 18:29:00
a co treba temna hmota a energie ?? To neni ani teorie !!
Re: Re: Re: Jeden z největších omylů lidstva
Zdeno Janeček,2026-02-12 18:35:34
zle napisane, temna hmota neni ani teorie, ani vira, iba jedna z variant mozneho.
Re: Re: Re: Re: Jeden z největších omylů lidstva
Martin Novák2,2026-02-12 20:43:37
Temná hmota je hypotéza a zároveň popis toho že co vidíme vypadá jako kdyby tam byla hmota kterou nevidíme a která neinteraguje jinak než gravitačně. Jsou i hypotézy které se pozorování snaží vysvětlit bez temné hmoty.
Re: Re: Jeden z největších omylů lidstva
František F,2026-02-12 20:23:02
Když nevypočítáme obvod kružnice, pak přísně posouzeno, žádný obvod neexistuje. Kdo ví, jak s vírou.
Re: Jeden z největších omylů lidstva
Tom Vlach,2026-02-12 18:37:10
Pane Štverko, obdivuji Vaší vytrvalost ve zdejších diskusích, zvláště statečnost v propagování své stránky na níž, jak jste sám v jednom zdejším příspěvku přiznal, že jste vymyslel vlastní teorii o tom, jak částice komunikují. Opět si dovolím Vás citovat: „vytvořil jsem teorií jak částice komunikují. A dnes se všem těm blábolům založených na blbosti zvané kvantová fyzika jen směji.“ Konec citace.
Pane Štverko, jako osoba natolik nadaná, že kritizujete namátkou třeba i Schrodingerovy rovnice, se musíte cítit jako vědec. Nezamyslel jste se někdy nad tím, zda byste neměl svou inovativní teorii publikovat v nějakém recenzovaném fyzikálního časopisu? Divil bych se, kdyby někdo kdo je přesvědčen o převratnosti své teorie, kterou propaguje kde se jen dá (a zde téměř v každém diskusním příspěvku odkazuje na svou stránku), že tak neučinil. Nemohl byste někdy v tom co zde všem doporučujete – číst Vaší stránku, dát ještě také odkaz na nějaký Váš článek v recenzovaném časopise? Myslím, že by si to zdejší čtenáři zasloužili. Už proto, aby si udělali představu jakou váhu Vaší teorii přikládat. Děkuji.
Diskuze je otevřená pouze 7dní od zvěřejnění příspěvku nebo na povolení redakce







